Το λευκό χαβιάρι εκχυλίζεται μέσω μίας πολύπλοκης διαδικασίας και η δραστικότητα του απελευθερώνεται.
In-vitro μελέτες έχουν αποδείξει ότι το αποκλειστικό μας εκχύλισμα Λευκού χαβιαριού – κατοχυρωμένο με πολλαπλά διπλώματα ευρεσιτεχνίας:

Εικόνα 1: Το Ε.Ε. οδηγεί σε μειωμένα ποσοστά κυττάρων θετικών για την ενεργότητα της β-γαλακοτισδάσης -μάρτυρα κυτταρικής γήρανσης- (κύτταρα βαμμένα μπλε) (6.17 ± 0.77 %) σε σχέση με τα κύτταρα που δεν επωάστηκαν με το εκχύλισμα πριν την επαγωγή πρόωρης γήρανσης μέσω οξεδωτικού στρες (62.7 ± 1.76%).

Εικόνα 2: Το Ε.Ε αυξάνει την επουλωτική ικανότητα των μεσεγχυματικώνβλαστοκυττάρων, καθώς μείωσε σημαντικά την διάμετρο της πληγής μετά από 24 ώρες (Ε.Ε., 91,63 ± 4.40 %) σε σχέση με τις πληγές που δεν επωάστηκαν με το Ε.Ε. (ΝΤ, 63.66 ± 6.12 %).

Εικόνα 3: Η επώαση των κυττάρων με το Ε.Ε. οδηγεί σε σημαντική αύξηση των επιπέδων γλουταθειόνης (Ε.Ε, 143.42 ± 8.45 nmol/gr of protein) σε σχέση με τα επίπεδα της απουσία του Ε.Ε. (ΝΤ, 61.00 ± 6.59 nmol/gr of protein)

Εικόνα 4: Το Ε.Ε παρεμποδίζει τη δημιουργία βλαβών στο DNA (πράσινα στίγματα) καθώς το 31.48 ± 4 % των κυττάρων χωρίς την επίδραση του εκχυλίσματος εμφανίζουν βλάβες στο DNA, έναντι του 15.22 ± 1.7 % των κυττάρων στα οποία έγινε επίδραση με το εκχύλισμα.
Έχει ισχυρή αντιγηραντική δράση, έναντι στην επαγόμενη από οξειδωτικό στρες πρόωρη κυτταρική γήρανση (SIPS) (Εικόνα 1).
Βελτιώνει την επουλωτική ικανότητα των μεσεγχυματικών βλαστοκυττάρων (Εικόνα 2).
Αυξάνει σημαντικά τα επίπεδα Γλουταθειόνης (GSH), ισχυρού αντιοξειδωτικού παράγοντα, που απομακρύνει τις δραστικές ρίζες οξυγόνου από τα κύτταρα (Εικόνα 3).
Προστατεύει το DNA από τη δημιουργία βλαβών, που προκύπτουν από το ενδογενές οξειδωτικό στρες
Το λευκό χαβιάρι εκχυλίζεται μέσω μίας πολύπλοκης διαδικασίας και η δραστικότητα του απελευθερώνεται.
In-vitro μελέτες έχουν αποδείξει ότι το αποκλειστικό μας εκχύλισμα Λευκού χαβιαριού – κατοχυρωμένο με πολλαπλά διπλώματα ευρεσιτεχνίας:
Έχει ισχυρή αντιγηραντική δράση, έναντι στην επαγόμενη από οξειδωτικό στρες πρόωρη κυτταρική γήρανση (SIPS) (Εικόνα 1).

Εικόνα 1: Το Ε.Ε. οδηγεί σε μειωμένα ποσοστά κυττάρων θετικών για την ενεργότητα της β-γαλακοτισδάσης -μάρτυρα κυτταρικής γήρανσης- (κύτταρα βαμμένα μπλε) (6.17 ± 0.77 %) σε σχέση με τα κύτταρα που δεν επωάστηκαν με το εκχύλισμα πριν την επαγωγή πρόωρης γήρανσης μέσω οξεδωτικού στρες (62.7 ± 1.76%).
Βελτιώνει την επουλωτική ικανότητα των μεσεγχυματικών βλαστοκυττάρων (Εικόνα 2).

Εικόνα 2: Το Ε.Ε αυξάνει την επουλωτική ικανότητα των μεσεγχυματικώνβλαστοκυττάρων, καθώς μείωσε σημαντικά την διάμετρο της πληγής μετά από 24 ώρες (Ε.Ε., 91,63 ± 4.40 %) σε σχέση με τις πληγές που δεν επωάστηκαν με το Ε.Ε. (ΝΤ, 63.66 ± 6.12 %).
Αυξάνει σημαντικά τα επίπεδα Γλουταθειόνης (GSH), ισχυρού αντιοξειδωτικού παράγοντα, που απομακρύνει τις δραστικές ρίζες οξυγόνου από τα κύτταρα (Εικόνα 3).

Εικόνα 3: Η επώαση των κυττάρων με το Ε.Ε. οδηγεί σε σημαντική αύξηση των επιπέδων γλουταθειόνης (Ε.Ε, 143.42 ± 8.45 nmol/gr of protein) σε σχέση με τα επίπεδα της απουσία του Ε.Ε. (ΝΤ, 61.00 ± 6.59 nmol/gr of protein)
Προστατεύει το DNA από τη δημιουργία βλαβών, που προκύπτουν από το ενδογενές οξειδωτικό στρες

Εικόνα 4: Το Ε.Ε παρεμποδίζει τη δημιουργία βλαβών στο DNA (πράσινα στίγματα) καθώς το 31.48 ± 4 % των κυττάρων χωρίς την επίδραση του εκχυλίσματος εμφανίζουν βλάβες στο DNA, έναντι του 15.22 ± 1.7 % των κυττάρων στα οποία έγινε επίδραση με το εκχύλισμα.
αποτελέσματα
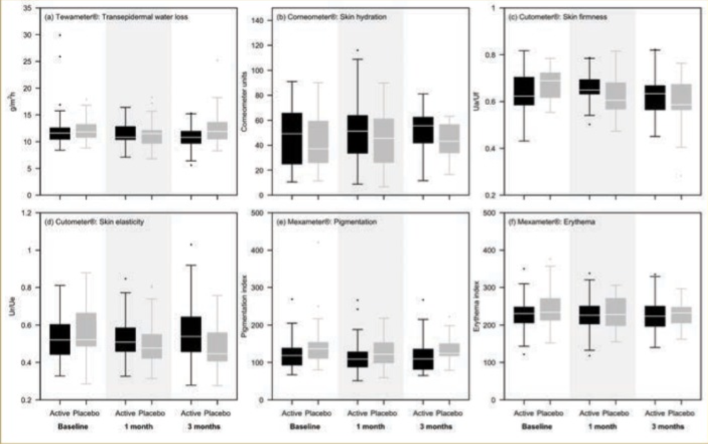
Οι πρώτες κλινικές μελέτες της δράσης του εκχυλίσματος αυγών σαλιγκαριών έδειξαν σημαντική επανόρθωση στο δέρμα γυναικών 45-60 ετών που είχαν, πριν την μελέτη, εμφανή σημάδια γήρανσης στο πρόσωπο. Η κλινική αξιολόγηση περιλάμβανε αντικειμενικές μετρήσεις του επιδερμικού φραγμού και της ενυδάτωσης, της ελαστικότητα και του χρώματος/φωτεινότητας του δέρματος. Μετά από 1 μήνα εντατικής θεραπείας με το εκχύλισμα αυγών σαλιγκαριών και 2 μήνες συντήρησης παρατηρήθηκε μείωση της διαδερμικής απώλειας νερού, καθώς και σημαντική βελτίωση στην υφή, την συνοχή και την ελαστικότητα της επιδερμίδας. Επίσης ήταν ορατή η μείωση των στιγμάτων από υπερμελάγχρωση καθώς και των λεπτών γραμμών και ρυτίδων.
VANESSA ZIYING LIM, et. al., J Clin Aesthet Dermatol. 2020;13(3):31–36)

